
jamanetwork.com
转眼间,2020年已接近尾声,这一年里 JAMA杂志又发了很多有意义的重磅级研究成果,本文梅斯医学选取一些重磅级研究,带您一起回顾JAMA系列期刊最有价值的研究进展。

JAMA系列期刊
JAMA(JAMA: The Journal of the American Medical Association)《美国医学会杂志》系列期刊由美国医学会出版的官方杂志,创刊于1883年,迄今已有137年连续出版的历史,已成为国际最顶级的四大著名医学杂志之一。旗下期刊发行的内容包括原创性的研究文章、社论、临床综述及病例报道等。JAMA的办刊宗旨刊载在每期目次的上方,即促进医学科学、医学技术及公共卫生事业的改善。该刊仍由芝加哥美国医学会科学信息部编辑出版。
1. JAMA Inter Med :常吃植物蛋白可延长寿命!
7月15日,美国国立卫生研究院国家癌症研究所的一组研究人员发现,与肉类蛋白质相比,吃更多植物蛋白的老年人寿命更长。该小组在《美国医学会内科学》(JAMA Internal Medicine)上发表的论文中,描述了他们对由美国国立卫生研究院(AARP)饮食与健康研究小组工作的数据库汇编的分析。

JAMA Intern Med. 2020;180(9):1173-1184. doi:10.1001/jamainternmed.2020.2790
在这项研究中,研究人员收集了NIH-AARP饮食与健康研究的数据,该研究中心一直在整理饮食与健康信息。他们研究了在过去16年中,年龄在50~71岁之间的人群,这些人群有来自底特律和亚特兰大两个主要城市的179068名女性和237036名男性。纳入该数据库的中位年龄为62。
研究人员发现,那些摄入植物性蛋白质超过平均数量的人,无论男女,死亡率都比平均死亡率低5%。他们还发现,食用的植物性蛋白质越多,它们的寿命就越长。而将饮食中3%的动物性蛋白质换成植物性蛋白质的人,死亡风险降低了10%。
将动物性蛋白质换成植物性蛋白质食品对健康还有其他什么益处?研究人员又分析出:这样做可以减少心血管疾病,仅仅只是转换3%的饮食习惯可使男性与心血管疾病相关的死亡减少11%,女性减少12%!这个发现令研究人员兴奋不已。
2. JAMA :维生素D不能预防抑郁症,而序贯心理联合治疗有望预防抑郁症
研究已经表明,血液中维生素D(25-羟基维生素D)水平低与晚年抑郁风险高相关,使用维生素D可以带来抗抑郁及抗焦虑样效应,但大部分研究未能确立维生素D抗抑郁焦虑样症状的神经保护效应的机制。
8月4日,来自美国麻省总医院的研究团队发表在JAMA上的迄今最大的RCT研究对维生素D是否能够治疗抑郁焦虑的问题进行了最终定论。

JAMA. 2020 Aug 4;324(5):471-480. doi: 10.1001/jama.2020.10224.
这项研究名为VITAL- DEP(维生素D和ω-3试验中抑郁症终点预防),是VITAL的一项辅助研究,VITAL是一项针对美国近2.6万人的心血管疾病和癌症预防的随机临床试验。
在该研究中,18353名没有任何临床抑郁症迹象的男性和女性测试了维生素D是否可以防止他们变得抑郁。结果发现,服用活性维生素D的参与者和服用安慰剂的参与者患抑郁症或临床相关抑郁症的风险没有显著差异,而且随着时间的推移,两组患者的情绪得分也没有显著差异。
由此可见,维生素D补充剂并不能预防中年或老年的抑郁症。另一方面,药物和心理序贯联合治疗在重度抑郁症预防和治疗方面的作用被肯定。11月28日,JAMA Psychiatry发表的一项最新的荟萃分析发现,在急性期药物治疗有反应后序贯给予心理治疗,无论是单独治疗还是联合抗抑郁药物(ADM)治疗,都与降低重度抑郁症(MDD)的复发风险有关。
序贯模式在临床实践中引入了一种观念转变。治疗目标取决于患者对第一个疗程的反应。它允许已经接受ADM治疗的患者根据抑郁疾病的发展阶段进行随机选择替代治疗方案,而不是简单地进行横断面诊断分类。因此,在MDD急性期成功给予ADM后,序贯的心理治疗整合似乎是一种有效的策略,在预防复发方面效果较为理想。
3. JAMA:高血压新定义引争议,如何科学维持健康血压?
2017年,美国心脏病学会(ACC)/美国心脏协会(AHA)发布的最新指南中,将最新的高血压定义从≥140/90 mmHg的标准诊断高血压(我国目前仍用这一标准)改为≥130/80 mmHg。同时,新版指南将单纯性舒张期高血压(IDH)阈值改为80mmHg。然而,该指南发布后陆续有学者对其进行了质疑。
1月28日,约翰霍普金斯大学医学院发表在JAMA上的研究指出新的IDH定义可能不妥当。研究人员发现,如果收缩压低于130 mmHg,而仅舒张压≥80 mmHg时,动脉粥样硬化性心血管病、心衰、慢性肾脏病、心血管死亡、全因死亡风险并不会显着增加。同时,根据旧诊断标准诊断的单纯舒张期高血压,也与上述不良事件风险也无明显关联。

新旧版本对IDH进行诊断,ARIC研究中CVD累积发生率。doi: 10.1001/jama.2019.21402.
研究人员首先利用美国全国健康与营养调查(NHANES)2013-2016年间共9590名成年人的数据,发现根据新、旧版指南IDH的患病率分别为6.5%与1.3%。随后,利用社区动脉硬化风险(ARIC)研究一项纳入8703名成年人、随访25年的队列进行研究后发现,新版指南确诊的IDH患者发生动脉粥样硬化性心血管病、心衰或慢性肾脏病的风险并不高于血压正常者。
为此,主要研究者John W. McEvoy认为,如果一个人收缩压正常(<130 mmHg),那么舒张压高低与CVD风险没有明显相关。而根据2017版美国高血压指南,仅在美国就有1200万成年人会因舒张压≥80 mmHg而被打上“高血压”标签,但他们并不能从高血压诊断中获益,反而可能接受不必要的治疗。
虽然在传统意义上,高血压是老年人中较为普遍的疾病,但最近的流行病学研究表明年轻人中高血压的发病率也在逐渐上升。总的来说,与血压升高相关的CVD的人口归因比例为23.8%。而在年轻人亚组中,高血压引起的CVD占年轻人总CVD事件的近1/4。但是,常用的风险预测模型尚未在年轻人中得到验证,支持开始使用抗高血压药物的证据不足。因此积极干预应谨慎。
4. JAMA:高敏肌钙蛋白水平预测心血管风险的新作用,有望改写指南
去年,英国伦敦帝国理工学院发表在BMJ的一项研究显示,无论年龄,肌钙蛋白水平的升高都代表着高度的死亡风险,特别在19至29岁年轻人中,心梗死亡风险比水平正常的人高10倍!
为此,肌钙蛋白对CVD预测甚至死亡风险的评估被进一步研究。其中,高敏肌钙蛋白(hs-cTn)试剂盒检测多用于医院大型实验平台。3月17日,发表在JACC上的研究评估了即时hs-cTn检测试剂盒(POC-hs-cTn)对心梗疑似患者的诊断价值。

Journal of the American College of Cardiology, 2020, 75(10):1111-1124.doi: 10.1016/j.jacc.2019.12.065.
本研究纳入了急诊疑似心梗的患者,主要目的是比较POC-hs-cTn试剂盒与中心实验室确诊试剂盒的诊断差异。最终纳入分析了1261名疑似患者,有178名患者确诊,POC-hs-cTn试剂盒曲线下的面积(AUC)为0.95,并且与其他hs-cTn试剂盒无明显差异。浓度<3ng/l时,45%的低风险患者的阴性预测值(NPV)为100%(95%CI:99.4%-100%),浓度>60ng/l的高危患者的阳性预测值(PPV)为76.8%(95%CI:68.9%-83.6%)。
研究结果显示,即时hs-cTn检测试剂盒对疑似心梗患者有很高的诊断率,且与实验室的高敏肌钙蛋白试剂盒无明显差异。
2018年美国心脏协会/美国心脏病学院(AHA/ACC)胆固醇指南根据CVD及高危因素将患者分组并进行针对性的降脂治疗。然而,美国哈佛医学院Brigham妇女医院8月5日JAMA子刊在线发表的一项新研究表明,该指南对心血管病患者的心血管风险评估方法存在缺陷,应将高敏肌钙蛋白水平纳入其中。
研究人员开展了一项前瞻性队列研究,纳入8635名入选PEGASUS-TIMI 54研究的患者,所有患者在纳入前1~3年发生心肌梗死,至少50岁,至少有1个高危因素。然后根据2018年AHA/ACC胆固醇管理标准,对患者分为极高危和非极高危两个组。
结果发现,高敏肌钙蛋白I水平超过6 ng/L(风险阈值)的非极高危患者3年CVD发生率(9.1%)与极高危患者(8.8%)一样。而在指南界定的极高危患者中,高敏肌钙蛋白I水平低于检测下限(<2 ng/L)的患者中CVD的发生率(2.7%)与非极高危患者(5%)相似。同时,根据临床标准评估的极高危患者中3年CVD发生风险是非极高危患者的2倍。

增加高敏肌钙蛋白I(hsTnI)后对CVD风险重新分类情况。doi: 10.1001/jamacardio.2020.2981.
进一步将高敏肌钙蛋白水平加入评估后,11.9%的心血管病患者重新归类,其中,9.1%(1/11)的极高危患者和25%的非极高危患者被重新分类。
为此,研究者指出,2018年AHA/ACC胆固醇管理指南对心血管病患者的心血管风险评估方法存在缺陷,将高敏肌钙蛋白水平加入到指南提出的心血管风险评估方法中后,可明显改善对心血管病患者的风险分层。
5. JAMA Dermatology:部分脱发药物或可产生自杀倾向
非那雄胺的使用是否与更多自发性的自杀、抑郁和/或焦虑相关?非那雄胺是一种用于治疗脱发和良性前列腺增生(BPH)的药物,其不良事件一直存在争议。2012年,开始出现男性使用非那雄胺后出现自杀倾向的报告。近日,JAMA Dermatology上发表的一篇名为Investigation of Suicidality and Psychological Adverse Events in Patients Treated With Finasteride的论文研究了自杀倾向(想法、企图和完成自杀)和心理不良事件(抑郁和焦虑)与使用非那雄胺的关系。

JAMA Dermatol. Published online November 11, 2020. doi:10.1001/jamadermatol.2020.3385
VigiBase从153个国家收集所有药物不良反应对的数据。这是同类数据库中最大的数据库,包含超过2000万份关于可疑药物不良事件的安全报告,可追溯至1967年至2019年。这些报告来自各种来源,包括医生、其他卫生保健专业人员、患者和制药公司,数据摘要包括患者人口统计学特征、药物剂量、报告反应和医学规范活动词典(MedRA)分类术语。
主要终点是任何与自杀相关的不良事件,通常描述为自杀。自杀倾向被细分为自杀意念、自杀未遂和完全自杀。次要终点为抑郁或焦虑。由于更多的心理不良事件(抑郁和焦虑)的MedRA描述符明显重叠,研究者没有进一步对它们进行细分,从这一点开始将它们称为心理不良事件。使用标准化的MedRA术语定义和识别了所有不良事件终点。
VigiBase包含356份关于非那雄胺使用者的自杀行为报告和2926份心理不良事件报告(共3282起不良事件)(男性3206例(98.9%);868例中有615例(70.9%),年龄在18-44岁之间。非那雄胺的自杀行为(ROR,1.63;95%CI,1.47-1.81)和心理不良事件(ROR,4.33;95%CI,4.17-4.49)之间存在显著的不均衡信号。在敏感性分析中,年轻患者(ROR,3.47;95%CI,2.90-4.15)和秃头患者(ROR,2.06;95%CI,1.81-2.34)的自杀率增加有显著的不均衡信号;这些信号在老年前列腺增生(BPH)患者中没有检测到。敏感性分析还显示,这些不良事件的报告在2012年后显著增加(ROR,2.13;95%可信区间,1.91-2.39)。

非那雄胺歧化分析.doi:10.1001/jamadermatol.2020.3385

敏感性分析总结.doi:10.1001/jamadermatol.2020.3385
这些发现可能会引起人们的关注,与普通人群相比,年轻的脱发男性可能更倾向有自杀的风险(即指征混淆)。然而,研究者的敏感性分析发现:米诺地尔,另一种用于治疗脱发的药效学不同于非那雄胺的药物,没有发现任何自杀率的异常报告。该研究结果表明,与非那雄胺使用相关的自杀倾向和心理不良事件可能归因于年轻脱发患者用药的独特特点。
总之,通过使用经过验证的药物警戒方法,发现了与非那雄胺使用相关的自杀信号显著的不均衡。在分层分析中,这些自杀信号在使用非那雄胺治疗前列腺增生的老年患者中不存在,而仅在使用非那雄胺治疗脱发的年轻患者中存在。本研究结果提示,在给较年轻的脱发患者开非那雄胺处方时,应考虑到自杀、抑郁和焦虑的风险,这些患者可能对药物的副作用更敏感;这种联系可能因刺激报道而有偏差,应该进一步研究。
抑郁症严重困扰患者的生活和工作,给家庭和社会带来沉重的负担,约15%的抑郁症患者死于自杀。近日,研究人员考察了抑郁症患者后续的心血管疾病(CVDs)风险。

JAMA. 2020;324(23):2396-2405. doi:10.1001/jama.2020.23068
本次研究是对个体参与者数据的汇总分析,参与者来自ERFC(162036名参与者,随访至2020年3月)和UK Biobank(401219名参与者,随访至2020年3月)队列,参与者基线无CVD病史,有完整的自我报告抑郁症状的信息,ERFC队列采用CES-D评分评估参与者抑郁症状(0-60分,16分以上为疑似抑郁患者),UK Biobank队列采用PHQ-2(0-6分,3分以上为疑似抑郁患者)评分评估参与者抑郁症状。研究的主要终点为致命或非致命性冠心病(CHD)、中风和CVD。

抑郁症状与冠心病、脑卒中、心血管疾病的关系. doi:10.1001/jama.2020.23068
ERFC队列参与者平均年龄63岁,女性占73%,在平均9.5年随访期间,总计发生了5078次CHD事件以及3932次中风事件。主要终点事件风险与CES-D评分log值线性相关,抑郁评分每增加1SD,患者的CHD风险为1.07,中风风险为1.05,CVD风险为1.06。CES-D评分最高1/4人群与最低1/4人群相比,每10000随访年中,CHD事件风险为36.3次和29.0次;中风事件分别为28.0次和24.7次;CVD事件分别为62.8次和53.5次。
UK Biobank队列参与者平均年龄56岁,女性占55%,在8.1年随访期间,总计记录了4607次CHD事件和3253次中风事件。抑郁评分每增加1SD,患者的CHD风险为1.11,中风风险为1.10,CVD风险为1.10。PHQ-2评分4以及以上患者与0分患者相比,每10000随访年中,CHD事件风险为20.9次和14.2次;中风事件分别为15.3次和10.2次;CVD事件分别为36.2次和24.5次。
总之,通过对22个队列,563255名参与者的随访研究发现,抑郁症状导致患者后续心血管事件风险增加。
7. JAMA:2020年IAS-USA指南更新了针对HIV治疗和预防的建议
2020年10月14日,JAMA杂志发布了国际抗病毒学会(IAS-USA)HIV病毒治疗和预防指南。自2018年IAS发布的最新版本以来,在使用抗逆转录病毒药物治疗和预防HIV感染方面取得了很大进展。抗逆转录病毒疗法(ART)的成功使生存率大幅提高,HIV感染者的寿命已接近正常,越来越多的患者活到50岁以上。因此,IAS决定对HIV感染治疗指南再次更新。

JAMA. 2020;324(16):1651-1669. doi:10.1001/jama.2020.17025
指南的再次更新是由研究人员参评了549份引文,评估了抗逆转录病毒药物的新数据,包括治疗启动,检测以及使用暴露前预防措施(PrEP)的注意事项,治疗过程中的监测以及HIV衰老问题等最新知识。
该指南更新的要点主要包括:
1)对于所有检测到病毒血症的HIV感染者,建议尽快进行抗逆转录病毒治疗。
2)大多数患者可以从纳入一种整合酶链转移抑制剂的三药物或两药物治疗方案开始治疗。
3)对于可能怀孕的患者、有特殊临床症状的患者、患有机会性疾病的患者或有医疗保健获得问题的患者,可以选择有效的治疗方案。
4)在等待监管机构批准和药物供应期间,建议首次使用长效抗逆转录病毒治疗方案,每4周或每8周注射1次进行治疗。
5)对于有感染HIV风险的人,建议采用口服方案进行暴露前预防。
6)建议在治疗前和治疗期间监测有效性和安全性。目前,因病毒学失败而转换治疗的情况比较少见。
8. JAMA:成人减肥手术的益处和风险,你想知道的全在这篇综述里!
近期,JAMA发表了一篇名为Benefits and Risks of Bariatric Surgery in Adults(成人减肥手术的好处和风险)的综述,也许可以解答相关疑惑。

JAMA, 324(9), 879. doi:10.1001/jama.2020.12567
该论文的主要作者David E. Arterburn教授介绍到,实际上,对于合并2型糖尿病的严重肥胖患者来说,最有效的长期治疗方法就是做减肥手术。但临床上很少有医生会和病人谈论这些,主要是因为他们担心手术的长/短期风险大于益处。
减肥手术发展史颇为曲折。空肠回肠旁路术、胃纵条带成形术和腹腔镜可调节胃束带术(AGB)由于不良反应难以忍受,再手术率高,或长期疗效差,已基本被弃用。相比之下,Roux-en-Y胃旁路术(RYGB)的长期证据基础有了显著提升。
关于减肥手术的适应症,1991年美国国立卫生研究院(National Institutes of Health)的指导方针建议,对于体重指数(以公斤为单位的体重除以米为单位的身高的平方)在40或40以上、35或35以上且有严重肥胖相关共病的患者,应考虑进行减肥手术。这些准则仍在广泛使用;然而,越来越多的证据表明,对于2型糖尿病患者和体重指数在30 - 35之间的患者,即使有最佳的2型糖尿病药物治疗,当高血糖仍未得到充分控制时,也应考虑进行减肥治疗。
在这篇综述里,研究者收集了从PubMed成立到2020年1月的所有有关减肥手术、胃旁路术和胃袖切除术的相关信息,从中筛选出高证据等级的研究并对这些研究结果进行了分析、对比和汇总。对目前关于减肥手术常见的问题一一进行了解答:
1) 最常见的减肥手术是什么?
减肥手术在过去几年中发生了变化,估计25.2万例的减肥手术中有61%是袖状胃切除术,然后是Roux-en-Y胃旁路术(RYGB),占17%。可调节胃束带(AGB)和胆胰分流手术各占不到2%。
2) 哪种减肥方法对减肥更有效?
减肥手术的减肥效果因手术步骤而异,最佳的减肥方法仍不确定。比较两种手术方式的随机试验表明,接受RYGB和袖状胃切除术的患者有相似的减肥效果,而观察性研究表明RYGB患者比袖状胃切除术患者减肥效果更好。
3) 有病人在减肥手术后体重反弹吗?
一般情况下,随着时间的推移,患者通常在术后第二年开始出现体重恢复,但体重恢复到术前体重的5%或以下是相对罕见的。
4) 减肥手术比标准的糖尿病治疗更有效吗?
关于减肥手术疗效已经发表了12项随机试验,共874例患者,其中11项试验通过至少5年的随访表明,减重手术在促进血糖控制和缓解2型糖尿病方面优于药物治疗。这些数据得到了长期观察研究的支持。研究表明减肥手术与糖尿病常规医疗相比,具有更低的微血管和大血管并发症发生率和死亡率。
5) 哪种减肥方法对糖尿病治疗更有效?
比较两种手术方式的随机试验表明,接受RYGB和袖状胃切除术的患者在血糖控制方面有相似的改善,而观察性研究通常表明RYGB患者在血糖控制方面的改善更大,糖尿病病情缓解更持久。
6) 减肥手术对其他肥胖相关的共病有什么影响?
随机试验和观察性研究普遍表明,与非手术治疗相比,减肥手术能更好地改善高血压和血脂异常,减少药物使用。观察性研究表明,与非手术治疗相比,减肥手术具有更低的癌症风险和更好的睡眠呼吸暂停、骨关节炎和尿失禁的预后,但需要随机试验来证实这些发现。
7) 哪种减肥方法是最安全的?
目前,RYGB术后短期和长期的主要不良事件(包括额外的手术、干预和住院)的风险似乎比袖状胃切除术后更大;需要更长期的随机和观察性研究来证实这些发现(超过5年的随访)。
8) 哪种减肥方法对我来说是“最好的”?
考虑到减肥手术的风险、益处和长期影响的不确定性之间的权衡,目前还没有对所有患者都是最好的治疗方法。因此,手术的选择应该基于一个共享的决策过程,优先考虑病人自己的价值观和偏好。

12项减肥手术与药物/生活方式治疗2型糖尿病的随机临床试验(n = 874)

袖状胃切除术,是目前世界上最常见的减肥手术
肥胖是造成预期寿命缩短的重要因素,减肥手术可以降低肥胖人群长期相对死亡风险,但其对预期寿命的影响研究尚不充分。
然而,发表在NEJM杂志的一项研究评估了减肥手术对肥胖人群预期寿命的影响。研究结果显示,在肥胖患者中,接受减肥手术与比通常肥胖治疗相比,参与者的预期寿命得到延长,但肥胖人群的死亡率仍然高于一般人口。
总之,现代减肥手术有很强的疗效和安全性证据。所有患有严重肥胖的患者,尤其是2型糖尿病患者,应就手术的风险和益处、持续的常规医疗和生活方式等与医生进行共同的决策对话,而有关手术的决定应主要由患者知情的偏好决定。
9. JAMA:2020版GINA哮喘指南发布!更新要点全览!
由于频繁的发病率和死亡率,哮喘成为世界范围内的主要公共卫生问题之一。哮喘指南(GINA)于1991年由美国国家心脏、肺和血液研究所首次发布,并于2007年更新。今年,该专家小组再次更新了哮喘指南发表在JAMA杂志上,还应“新型冠状病毒肺炎(Covid-19)大流行”之景,提出了疫情下哮喘管理治疗的临时指导意见。
GINA2020更新要点如下:
1) 建议哮喘患者继续使用其正在使用的处方药物,尤其是要继续照常规范使用吸入糖皮质激素(ICS)和口服糖皮质激素(OCS)等。突然停止ICS治疗会导致潜在风险,包括哮喘加重、恶化等;对于重症哮喘患者,应继续使用生物治疗,避免突然停用OCS。
2) 轻度哮喘的治疗管理新增支持证据,所有成人和青少年轻度哮喘患者都应使用含有低剂量ICS的控制药物治疗方案,以减少发作风险,并且基于安全性考虑,不再建议单独使用短效β2受体激动剂(SABA)治疗。
3) 轻度哮喘患者按需使用ICS-福莫特罗时不需要进行炎症表型分析;按需使用ICS-福莫特罗在降低风险和控制症状方面的益处与基线特性无关。

2020 GINA 哮喘阶梯治疗方案(成人及青少年)
4) 警惕孟鲁司特钠的不良反应FDA已于2020年3月对孟鲁司特钠进行了黑框警告,提醒警惕其引起的包括自杀在内的严重神经精神不良反应。
5) 哮喘发病影响因素新的证据表明,全球13%的儿童哮喘可能与交通导致的空气污染有关,肥胖也可能是哮喘发病的危险因素。
6) 儿童哮喘管理2020年增加的新证据包括一项系统综述表明,包括哮喘自我管理在内的以学校为基础的治疗方案减少了患哮喘儿童的急诊次数、住院次数和活动减少的天数。每日吸入皮质激素比孟鲁司特钠等白三烯受体拮抗剂(LTRA)可以更有效地控制症状和减轻病情。
7) 哮喘合并COPD章节被重写
哮喘合并慢性阻塞性肺疾病(COPD),兼具哮喘和COPD特征,临床上常见。GINA 2020对这部分进行了重写,关注临床认知和安全的初始治疗,添加了新的摘要图。这部分的重点是对初级保健和普通临床医生的建议。有研究证据表明,有哮喘和COPD特征的患者应使用含ICS的药物治疗方案,与单独使用长效支气管扩张剂相比,含ICS的治疗方案可以降低其住院和死亡风险。
对于哮喘,尽管尚无治愈方法或确立的预防手段,但仍可获得有效的治疗方法,此次《 2020年哮喘指南更新》中的建议将改善哮喘患者的健康。
10. JAMA:腭舌手术治疗中重度阻塞性睡眠呼吸暂停症成年患者
阻塞性睡眠呼吸暂停(OSA)是一种以睡眠打鼾伴呼吸暂停和日间思睡为主要临床表现的睡眠呼吸疾病,如果不及时治疗,会带来许多不良影响,包括白天嗜睡、生活质量下降、心血管疾病发病率和死亡率增加,许多OSA患者接受辅助治疗后效果不显著。
睡眠呼吸暂停多级手术(SAMS)试验是一项标准化手术程序的随机临床试验,该试验可减轻患有中度或重度症状性OSA且常规器械治疗失败的成年患者的舌后阻塞情况。手术在改善OSA方面比持续进行的医学治疗更为有效。腭舌联合手术是SAMS其中之一。
澳大利亚弗林德斯大学医学院Richard教授团队探究了腭舌联合手术对OSA常规治疗失败患者的疗效。

JAMA.2020; 324(12):1168-1179. doi:10.1001/jama.2020.14265
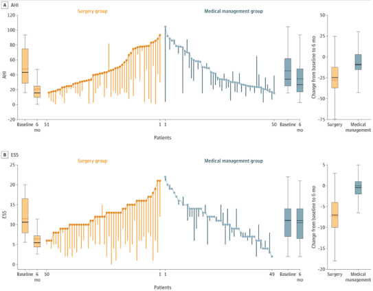
在该研究中,纳入的患者均为常规治疗失败以及症状性中或重度OSA患者,随机接受多次腭舌手术(改良悬雍垂腭咽成形术和微创舌体积缩小术)或常规医疗(例如,改善睡眠姿势或减肥)。研究的主要结果为睡眠呼吸暂停低通气指数(AHI;即呼吸暂停和低通气事件的次数/h;15-30表示中度OSA,>30表示重度OSA)和Epworth嗜睡评估(ESS;范围0-24;>10表示病理性嗜睡)。

上呼吸道手术与持续药物治疗OSA患者的影响研究中的AHI和ESS结果.doi:10.1001/jama.2020.14265
手术组在基线检查时的平均ESS得分为12.4,6个月时为5.3;常规医疗组基线检查时的平均ESS为11.1,6个月时为10.5(6个月时,平均基线调整组间差异-6.7)。
研究表明,对于常规治疗失败的中、重度阻塞性睡眠呼吸暂停症患者,接受悬雍垂腭咽成形术和微创舌体积缩小术可减少呼吸暂停和低通气事件的发生,改善患者嗜睡症状。
文章来源于MedSci梅斯 ,作者Mill
相关文章
转眼间,2020年已接近尾声,这一年里 JAMA杂志又发了很多有意义的重磅级研究成果,本文梅斯医学选取一些重磅级研究,带您一起回顾JAMA系
FlashFXP绿色版网盘下载,附激活教程 3222
FlashFxp百度网盘下载链接:https://pan.baidu.com/s/1MBQ5gkZY1TCFY8A7fnZCfQ。FlashFxp是功能强大的FTP工具
Adobe Fireworks CS6 Ansifa绿色精简版网盘下载 3133
firework可以制作精美或是可以闪瞎眼的gif,这在广告领域是需要常用的,还有firework制作下logo,一些原创的图片还是很便捷的,而且fireworks用法简单,配合dw在做网站这一块往往会发挥出很强大的效果。百度网盘下载链接:https://pan.baidu.com/s/1fzIZszfy8VX6VzQBM_bdZQ
navicat for mysql中文绿色版网盘下载 2770
Navicat for Mysql是用于Mysql数据库管理的一款图形化管理软件,非常的便捷和好用,可以方便的增删改查数据库、数据表、字段、支持mysql命令,视图等等。百度网盘下载链接:https://pan.baidu.com/s/1T_tlgxzdQLtDr9TzptoWQw 提取码:y2yq
火车头采集器(旗舰版)绿色版网盘下载 2999
火车头采集器是站长常用的工具,相比于八爪鱼,简洁好用,易于配置。火车头能够轻松的抓取网页内容,并通过自带的工具对内容进行处理。站长圈想要做网站,火车头采集器是必不可少的。百度网盘链接:https://pan.baidu.com/s/1u8wUqS901HgOmucMBBOvEA
Photoshop(CS-2015-2023)绿色中文版软件下载 2969
安装文件清单(共46G)包含Window和Mac OS各个版本的安装包,从cs到cc,从绿色版到破解版,从安装文件激活工具,应有尽有,一次性打包。 Photoshop CC绿色精简版 Photoshop CS6 Mac版 Photoshop CC 2015 32位 Photoshop CC 2015 64位 Photoshop CC 2015 MAC版 Photoshop CC 2017 64位 Adobe Photoshop CC 2018 Adobe_Photoshop_CC_2018 Photoshop CC 2018 Win32 Photoshop CC 2018 Win64